更新時間:2024-09-20 21:30:26作者:佚名
放眼望去,幾乎所有專業分數線都有所提高,沒有提高的專業屈指可數。不過,家長和學生也不必過于焦慮,這些分數線提高的專業幾乎每年都達到一個較高的水平,而今年能提高到這個水平,是多方面綜合因素共同作用的結果。
最明顯的現象就是公費分數已經超過211大學,時代創造了分數奇跡。
為什么說時間創造奇跡?公派生錄取分數線的暴漲,是從疫情之后開始的。經濟環境不好,不僅家長希望孩子將來能有一份穩定的工作,很多考生也是這么想的。上大學難道就是為了找份好工作?山東2024年公派生招生計劃大幅縮減,計劃只有之前的50%。
另外大家比較關心的就是藝術類專業的錄取情況,目前藝術類專業的本科招生也慢慢進入尾聲,各大高校的錄取數據也在陸續向社會公布。
其中,中國傳媒大學、浙江傳媒學院、上海戲劇學院等一大批舉辦高考的高校出現異常降分現象。
2024年共有17名學生以特殊減分方式被中國傳媒大學錄取。
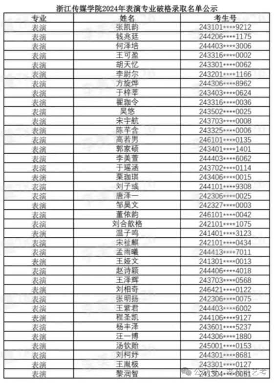
浙江傳媒學院2024年共計76名學生以特殊減分方式錄取,其中表演專業38名、錄音藝術專業20名、影視攝影與制作(電視攝像)專業6名、影視攝影與制作(電影攝影與制作)專業6名、影視攝影與制作(電視節目與制作)專業6名,其余專業不詳。
中央戲劇學院優秀招生最新消息!!!
中央戲劇學院開始破格錄取啦!目前我們了解到已經有十幾個人破格錄取了!具體錄取人數稍后更新!!!
其中表演專業(戲劇表演)已錄取30余名學生,音樂劇專業亦是如此。其他專業招生信息正在更新中……
上海戲劇學院2024級表演專業最低錄取分數線為130+,需要注意的是,今年上海戲劇學院表演專業共發放了140張校考合格證書。
北京電影學院2024年表演專業最低錄取分數線為130+(155分證書)
上海大學2024年績效計劃特招最低人數為67人(合格證書67人、本科錄取6人、特招14人)
浙江傳媒學院招生60人 破格錄取38人

浙江音樂學院現招聘演奏員20名,其中特別錄取11名。
南京藝術學院音樂劇專業破格錄取學生人數為12名。
其他高校具體信息將及時更新。
這種情況估計其他高校也存在,希望同學們耐心等待小編接下來為大家總結的2024藝考信息。
山東2024年高考報名人數達99.8萬人,比去年增加1.8萬人,其中春季考試27.6萬人,夏季考試72.2萬人。這一數據無疑體現了高考對山東學子的巨大吸引力,也引發了社會對高考競爭激烈程度的廣泛關注。72.2萬名夏季高考考生中,扣除高職高專和提前錄取的4.8萬人,實際參加普通高考人數為67.4萬人,比去年增加不到6000人。
1. 一般規定
一般的
一條線
兩段線
特殊進出控制線
分數
444
150
521
2. 藝術
藝術
本科生文化控線
專門文化控制線
播音主持

444
150
藝術與設計、音樂、書法
333
150
舞蹈、表演(導演)、歌劇
288
150
參照本制度設立的獨立學院和藝術類專業網校頭條,應當自行設置本科生文化控制線。
3. 體育
運動的
一條線
兩段線
分數
594
470
體育分線是按照綜合成績確定的,綜合成績是由70%專業成績和30%文化成績構成的,而不僅僅是文化成績。
4.高水平運動隊:
部分“雙一流”大學要求考生高考成績需達到原籍省份普通本科招生錄取分數線,即444分。

其他高校要求考生高考成績需達到原籍省份普通本科招生錄取分數線的80%,即355分。
5.報考“3+2”直通車職業教育的錄取分數線為394分。
據《2024年山東省普通高等學校招生報名簡章(本科)》(文末附電子版)粗略估算,共有1176所高校開設9357個專業,計劃招生總人數257834人,其中專科提前招生的47所高校開設216個專業,計劃招生總人數2281人。
從選課情況看,物理、化學專業選修課154527人,占總招生人數的59.93%;自由選修課75128人,占總招生人數的29.14%;物理學專業選修課15052人,占總招生人數的5.81%。以上三者合計占比94.9%。
2024年山東省高考報名指南動態:
1、本專科階段校企合作全部取消。雖然在類型上直接砍掉了校企合作,但并未完全取消,其余的校企合作類??型仍歸入普通類,據統計本科批次招生計劃僅有36所。
2.“理工農醫”專業大多與“物理化學”捆綁,2024年山東高考本科招生計劃總人數為25.8萬人,其中物理化學專業為15.6萬人,包含“生物政治”的專業非常少,這也意味著選擇物理專業和純文科的學生將進入同一軌道,錄取難度會更大。
3、藝術類申請一年級文化課和專業課綜合成績算法修改,本科申請流程由三次改為兩次,高考文化課錄取分數線調整,藝術類專業分類由11個專業減少為7個專業,很多專業的消失、合并導致參考資料進一步減少,家長和學生面臨的申請難度也會增加。
4、新設立的康復大學在山東招生226人,山東部分重點本科院校招生計劃增加,3+2插班計劃增加一倍,緩解了部分本科生勉強過線的焦慮情緒(1.2)。
5、公辦師范院校數量大幅減少,招生規模減少近一半,其中德州學院、山東航空學院、泰山學院、濰坊學院等院校已全面停止公辦師范院校招生。
從分數分布來看,696分以上考生50人,650分以上考生3386人,600分以上考生22548人,通過率為3.3%,在全國同類省份中墊底。其中521分以上考生131231人,通過率為19.5%;444分以上考生318935人,通過率為47.3%;
2024年山東高考本科招生計劃為257999人,比去年增加10645人。即便如此,計劃錄取率也只有38.3%。這意味著,即使達到本科錄取線,60936名考生也未必能考上本科院校。
有趣的是,今年的招生計劃中,不限專業人數有73698人,這給了大家更多的選擇空間。其中,物理和化學的組合最為熱門,招生計劃高達156205人。所以,選擇了物理和化學的同學們,你們的機會很大!
小編總結:2024年選科志愿數量為20330,計劃數為247331。其中不選物理、化學的志愿數量為78649,單選物理為15050,物理、化學為151917,單選化學為1715。整體來看,理工農醫類專業大部分與“物理、化學”捆綁,包含生物、政治的專業非常少,這也意味著單選物理和純文學的學生進入的軌道是相同的,錄取情況更為艱難。
那么,看完以上數據,你還會堅持選擇普通專業嗎?聰明的人已經開始選擇適合自己的藝術專業了!別坐以待斃,不然你會后悔的!【建議文化類科目分數在480分以下的同學考慮藝術類專業,尤其是三輔修科目結合的純文科生,更應該選擇藝術類專業】
如何選擇適合自己的藝術專業?可結合以下情況進行分析判斷:

第一:你對藝術專業有興趣嗎?2024年藝考改革后山東高考成績什么時候出2024,只剩下歌劇、播音與主持藝術、戲劇影視導演、戲劇影視表演、航空服務與藝術管理、時尚表演、書法、舞蹈、音樂等專業。興趣是第一任老師,一定要根據自己的興趣選擇適合自己的專業。
第二:根據學業成績選擇。以山東省為例,在六大藝術專業中,播音與主持藝術專業對學業成績的要求最高,要求考生達到本科水平。部分985、211高校要求考生達到一本線,然后按照專業課成績排名錄取。【只針對承認省統考成績的高校】,組織播音與主持藝術專業校考的高校,都要求考生達到本科水平,然后按照專業課成績排名錄取。浙江傳媒大學的播音專業居然錄取了412人!!!
因此,學業成績未達到本科要求的考生,盡量不要選擇播音主持專業。即使專業課考得好,如果學業成績不達標,也是沒有錄取機會的。當然,如果學業成績在本科線附近徘徊,還是可以考慮播音主持專業的,或者如果你覺得以后有更大的機會考上本科線,也可以考慮播音主持專業。
時尚表演與航空服務、藝術管理專業跟考生身高體重、長相等因素有關,如果不滿足關鍵要求,基本就被通過了!
選擇表演專業的考生必須同時報考導演專業,選擇導演專業的考生必須同時報考導演專業,有的省份不允許同時報考,小編建議大家如果可以的話一定要同時報考!
這兩天,各省各大高校的錄取結果陸續公布,不少考生也終于定下了心,有的實現了考上理想大學的夢想,有的卻不愿接受這個結果。但不管怎樣,事實已成定局,2024年的藝考改革發生了前所未有的變化,2025、2026屆藝考考生可以吸取經驗教訓,真正設身處地為自己的將來道路出謀劃策,合理規劃自己的藝考、招生路徑。
這里,小編結合2024藝考改革下的考試形勢和專業錄取情況,給2025級、2026級藝考考生提幾點建議,希望大家看完后能夠有所思考。
2024年藝術考試改革下,所有藝術專業都有所改變,包括考試內容、錄取原則等。六大藝術專業中,播音主持藝術專業對文化課的要求最高山東高考成績什么時候出2024,所以選擇播音的同學一定要謹慎,如果文化課達不到相應的分數要求,建議不要選,除非你特別喜歡。
第一點:不要把太多的精力放在專業課上,就是專業課不要占用文化課太多的時間。統考最好不要超過三個月。文化課分數比較高、藝術修養高、領悟能力強的學生可以縮短學習時間。如果文化課占用太多時間,對文化課的影響會比較大。當然這個也不能太絕對,畢竟很多學生的文化課分數就是因為專業課而上升的。【學習時間最好不要超過三個月,參加學校考試的學生除外】
為什么我一直強調學科的重要性呢?原因很簡單,每年高考成績公布的時候,如果你學科不及格,就注定考不上本科,意味著你所有的努力都白費了。
2025、2026級的藝術生,大家可以去省考網看看2024級有多少卷子,他們的學術成績高的嚇人,專業和學術都很好,如果學不好學術,可能就會被別人甩在后面。【2024級有很多專業成績很高的學生,因為學術成績比較低,綜合成績排名比較靠后,最后沒被錄取,這樣的例子比比皆是】
第二點:既然學了專業課,那么在學習專業課的過程中遇到什么難題一定要解決,不要不懂裝懂,帶著問題去考場。特別是藝術考試改革后的錄取原則,將是你站出來高歌猛進的最好機會。
我舉個簡單的例子,以山東省為例,A同學文化課成績為530分,專業課成績為195分,B同學文化課成績為465分,專業課成績為229分。根據綜合成績計算公式,可以得出B同學的綜合成績遠高于A同學,這更凸顯出專業課的重要性,B同學的專業成績比其他同學高1分,相當于總分高2.5分。
1.音樂、舞蹈、表演(導演)、美術、設計類:綜合成績=學業成績×50%+專業成績×750/300×50%
2、書法:綜合成績=學業成績×60%+專業成績×750/300×40%
3.播音與主持類:綜合成績=文化成績×70%+專業成績×750/300×30%

第三點:根據自己的興趣愛好、文化課成績、自身條件選擇適合自己的藝術專業,不要隨波逐流,盲目選擇,綜合分析后再做決定。2024年,大部分藝術專業報考人數呈下降趨勢,預計2025年藝考報考人數將繼續下降,尤其是戲劇影視導演專業。美術專業報考人數會略有增加。所以2025年絕對是導演系學生的機會。從2024年的招生院校和招生計劃來看,明年招生計劃還會繼續增加,招生院校也不斷增加,包括中國美術學院、南昌理工學院、首都師范大學等,邯鄲學院將恢復招生等。最重要的是,對于參加導演系聯考的考生來說,考試壓力會相對減少。 【想參加校考的學生一定要提前做好準備,在備戰統考的過程中做好校考的準備】
第四,能參加校考的同學盡量參加,因為有破格錄取的可能。因為組織校考的高校都有前置條件,就是要求考生達到所在省份本科線。光是這一點就會擋住很多人,所以預計2024年參加校考的人數會很少,但是破格錄取的存在就讓很多考生有了可能,而且從錄取信息數據來看,破格錄取的人數是很大的。
什么是特別錄取?
今年起,新藝考規定對藝術生文化成績提出了新的要求,各大高校的文化成績要求普遍提高,為防止出現文化課“生源不足”的情況,各高校根據自身情況適當降低標準,并出臺了相應的“特殊錄取規定”。
各高校特殊招生規則不盡相同,一般前提是在招生名額未滿的情況下,各類別按照學校考試成績和報考類別一定比例的合格考生排序,且高考文化科目成績不低于該省普通本科批次錄取控制分數線一定比例,從高到低擇優錄取。
2024年共有17名學生以特殊減分方式被中國傳媒大學錄取。
浙江傳媒學院2024年共計76名學生以特殊減分方式錄取,其中表演專業38名、錄音藝術專業20名、影視攝影與制作(電視攝像)專業6名、影視攝影與制作(電影攝影與制作)專業6名、影視攝影與制作(電視節目與制作)專業6名,其余專業不詳。
這種情況估計其他高校也存在,希望同學們耐心等待小編接下來為大家總結的2024藝考信息。
所以這就說明了一個很重要的問題,就是如果你有條件或者有能力,還是考研比較好,畢竟考研給你提供了更多的機會,更多的選擇,給你提供了更多的填報志愿的機會,給你提供了更多實現夢想的機會。
第五,能報雙專業的同學最好報,尤其是導演和表演專業的同學,畢竟只需要考一次,相比有些省份如果只報導演,就不能填平行志愿了。報雙專業的另外一個好處是,你可以根據自己實際高考情況,選擇是報表演還是導演,雙向選擇的空間比較大。
所以2024年的藝考已經成為歷史,2025年的藝考考生需要更加努力。2025年是一個機遇大于挑戰的重要契機,能否抓住救命稻草還得在近期評判,畢竟現在已經是7月中旬,打好專業基礎最重要的階段就在暑假了。